摘要
LED在国内的照明产业占据了越来越大的市场份额,原因是同样的照明,LED能耗更低。截止到2016年,在欧洲,传统的白炽灯逐渐被淘汰,LED已成为主要的光源。由于白色LED等自身特殊的光谱和活性的特点,也经常拿来和室内其他光源来做比较,对于它的安全性和对人身健康的方面,特别是对眼睛的潜在危害来说,人们的担忧日益上升。为了归纳出用LED灯的健康风险评估,法国的食品,环境,职业的健康安全等机构,一个包括生态,健康和职业等的公共团体,组成了一个课题小组专门向法国的部长作报告。这个小组在一起协作一整年,其中包括物理学家,光学和计量学的专家,视网膜生物学家,眼科专家。部分的工作包括对法国市场上不同种类的LED灯的风险评估,根据标准并发现这些属于小组风险1还是2.
这篇论文全面的分析了白光LED灯的潜在危害,考虑临床前的一些知识以及流行病学的研究报告,法国的一些机构的建议是要避免潜在的视网膜危害。
1、 简介
人工光源,在日常生活中大多数人都会使用到,每年它的消耗量约为2650十亿兆瓦时,占全球发电总量的近19%。欧盟从产品能源的生态设计角度出发,(2005/32 / CE)建议提高国内使用产品的能源性能,以达到保护环境的目的。因此,决定将逐步减少低效率光源的使用,取而代之使用紧荧光灯或二极管。截止到2016年9月1日,欧洲市场将不会再出现白炽灯的身影,而无机或有机发光二极管会成为其替代白炽灯的新能源产品出现在市场上。
事实上,如果人们用白光LED取代其他光源,那么每年将减排约270百万吨的二氧化碳,这一数字代表了巨大的生态意义。随着人们不断地改善LED的光效,人们将再不会对白光LED灯的能效和环保作用产生质疑了。然而,这些新光源存在一些潜藏的风险。由于白光LED的光谱有别于国内其他光源,一些有关其对人体健康安全威胁的顾虑产生,尤其是对眼睛的危害。法国食品署,环境和职业健康与安全(ANSES)以及其他公共机构对LED使用中所存在的危害进行了评估。本文总结了在使用LED过程中,对人类带来的潜在风险进行全面和客观的分析,主要是为避免潜在的视网膜危害。
2、LEDs
2.1 物理学和光学
光是在380-780毫微米的范围内可见的一种电磁辐射,人类视网膜的可见光区从紫色跨到红色。像所有的辐射,光具有一定的能量,较短的波长区域是活动最频繁的区域。辐射量取决于光辐射的能量相关的的参数(表1概括相关术语的定义)。辐射率是用来描述“明亮度”的一个定义,量化的光由一个光源发射的量来决定[单位为W /(平方米SR)〕而辐照则用于描述接收表面的功率密度。测光量要考虑到光的视觉效果,用以表示标准光度的可见度曲线,人眼可见光可达到555纳米范围内。要想感知由人的“标准观察者”的亮度(以前称为“亮度”),以cd /m ²和在勒克斯(亮度测定的照度(上的接收表面的光束密度)测定,这是通过在一个单位立体角的光源发射由发射表面的面积除以光通量)。因此,较小的发射表面,观察越集中和那亮度就越高。眼睛就是一种光学系统,该系统能在视网膜上呈现不同的图像,这是在实际的视网膜照明方面有关的测光量,是受试者观察到的物体的亮度。由于不同的光源的光谱分布变化不同,光度和辐射量之间没有简单的转换因子。值得注意的是,它们不随观看的距离的变化而变化。表2和3给出了一些自然光和人造光的例子。
表1:
术语定义:
| 术语 | 单位 | 定义 |
| 光通量 | 流明(lm) | 评估根据眼睛的敏感性,光的数量在所有空间辐射光源 |
| 发光强度 | 烛光(cd) | 立体角发出的光通量 |
| 亮度 | 坎每平方米(cd/m2) | 光表面密度 |
| 照度 | 勒克斯 | 收到的光通量 |
| 光视效能 | 流明/瓦 (lm/W) | 理论最大683 lm / W |
通过相应的感觉,用绝对温标表达的白光相对色温(CCT)常被用来定义其明暗度,即“暖”或“冷”。暖白光呈现光橙色,相对色温低于3500K(白炽灯光源为2700-2900K). 冷白光更近似于冷色,如蓝色,且相对色温在5500K之上(6500K为标准日光照度)。显色指数(CRI)包含数值为0-100,对照基准光,可以反映光源复制其他被照亮物体颜色的能力强弱。按照定义,日光显色指数为100。 在商铺,校舍,或办公室,灯的显色指数应高于80。 表1概述了用于定义光量的主要术语。表2和表3为自然光与人造光相对应的亮度和照度相关的例子。
发光二极管本身发出单色光源其换能效率由发光波长决定。半导体节点发出的主波长主要由传导和价带间的能隙值决定。此外,根据节点温度,所释放的光谱线有半极大处全宽度值(FWHM)。最初商用的发光二极管均为红色,而今日几乎所有饱和色都能实现。制造LED关键问题在于如何大规模渗透普通照明市场来获得高能效白光LED。LED如何能产生白光?今日有三种主要方法从发光二极管中产生白光。
表2:
室内照明和自然光照明举例
| 亮度举例(cd/m2) | |
| 眼睛感知阈值夜晚满月,天气晴朗 荧光管夏天正午12:00 阳光下的白纸表格闪光值大约为碳灯丝可能的眼部病变幻影氙弧 | 10 -6 10 -4 2000 5000 30 000 500 000 700 000 250×10 6 400×10 6 |
表3
室内照明和自然光照明举例
| 照度举例(lx) | |
| 夜晚 2m高75w 的灯公共照明良好的人工照明室外,多云夏天正午12:00 阳光下 | 0.0003 40 50 500 15 000 100 000 |
● 将一个二极管长短为λ1发射波在和更大的磷光发射波长结合λ2。
● 使用三个(至少)二极管在不同的可见光波发射,然后结合自身产生白光。
混合多种荧光粉,产生的相对色温(CCT)和最终混合物有关。每种方法有其优缺点。第一种方法是用的最广泛的方法,用来产生高亮白光LED。此方法是由于互补光波长(等“长”或等“短”)的两个光子同时到达眼球将会产生白光感。二极管产生一个短波被磷光剂包住,因此能吸收少量短波长光子来转变为长波长光子。大批量生产白光LED以及蓝光发光二极管时,用氮化铟镓晶体和黄色磷光剂的结合(钇铝石榴石,铈,或者类似物)来制造相对色温5500K以上的LED。如要产生“暖白光”且相对色温约3200K,需额外加一层发红光的荧光剂。然而,这额外一层却能明显减少LED的发光效率。要注意的是,蓝光成分往往存在在LED光谱。
第二种方法需要利用短波长发光二极管(近紫外线区)耦合一种或多种荧光剂,能把紫外辐射转换成可见光。相同的方法也用于各类荧光灯。此法主要优点是可以产生很高质量的白光(高显色性), 此外,也能根本上避免蓝光直接释放。
第三种方法需利用三个发光二极管,用来提供基本色(红,绿,蓝)。这三种颜色的加色合成可以产生白光,相对色温每种颜色组成的相对权重。现在不止用三种颜色,这样能获得更多色差来更精确达到理想的色点。因此,加入蓝绿色,琥珀色,以及红橙色都是可能的。但由于此种方法的设配要昂贵的多,所以这种方法常用于风景和装饰照明,而不用于普通照明。
目前,用于国内的LED照明正在生产白色光与第一描述方法。因此,风险评估基于对于这种类型的白光LED混合系统上来完成。图2,是些市售白光LED的实施例的代表。
3. 与生物系统的光相互作用:光致损害赔偿机制
用生物系统辐射通过吸收发生相互作用,辐射能量被转移到其中效应发生的物质。两个主要机制可以区分通过该吸收辐射能实施影响。(Youssef et al., 2010; Organisciak and Vaughan, 2010).
热能:辐射能被转化为分子的运动(动能),如振动、旋转和转换。温度随之增加。在此, 一定体积里,单位时间(s)内所吸收的辐射能(由焦耳J表示)决定了温度上升。也就是说,单位体积(立方米)内吸收的辐射功率(J / s =Watt,W),或者是(特定)吸收速率(W / m 3 )是决定性因素。如果由热失活产生的光能释放速度快于热扩散的速度,就会产生光热损伤,就会引起组织温度的提高。热暴露的持续时间通常介于0.1和1.0秒之间 (Crochet et al.2006)。对于到达视网膜的可见光和红外辐射,渗透的深度取决于入射波长、黑色素(即RPE细胞及脉络膜黑色素细胞内的黑素体)、血红蛋白或是氧合血红蛋白(在脉络膜血管里)。它们是的主要吸收者,可以产生由电子激发态到基态,非常有效的无辐射衰变(Marshall,1970)。温度至少上升10 0摄氏度会引发了视网膜内许多蛋白质变性,进而造成热损伤。通过视网膜进行的热传递很有限,热损伤局限于色素上皮,接着机械式扰动导致视网膜层受损或血凝外围及中心受损。这一机制被用于激光光凝术中。然而, 暴露在短于-20us的高功率闪光中,也可能产生视网膜光热损伤 (Delori et al .,2007)。
光化学:辐射能会使最外层(价)电子转移到更高的轨道能级,进而激活原子或分子。随后这种能量可以运用于(光)化学反应,产生'光产物”。辐射要在一定的波长范围(吸收带) 内才能激活 (离散量子,即光子吸收的辐射能必须与激活所需能量相匹配)。吸收辐射的(部分) 分子被称为发色团。并不是每个被激活分子都会引起化学反应: 荧光(释放长波长的辐射) 可能导致能量损失,或者能量以热量的形式消散。这意味着所吸收的辐射能,只有特定的一部分才能用于(光)化学反应:这由量子效率 (每吸收一个光子所产生的光产物数;比率通常< 1) 所表示。光被发色团吸收,产生光化学损伤,导致该分子形成电子激发态,随后分子或是本身进行化学转换,或与其他分子间相互作用,使两方都发生化学变化,或者使这种激发能转移至其它分子,使其具有化学反应性(化学活性)。自由基和活性氧(ROS)因而可能得以形成,从而引发光动力效应。它在光的激发下,发色团(也称作光敏剂)进行系间窜跃,产生自由基和单线态氧。视网膜里的内源性光敏剂达到了视网膜的可见/红外辐射(表4) ( Glickman, 2002; Wu et al., 2006; Boulton et al., 2001)。外层视网膜、感光细胞和视网膜色素上皮(RPE),紧邻脉络膜的血液供应,含氧量随之变高,这为光动力损伤创造了可能性(Yu and Cringle, 2005; Beattyet al., 2000)。
图2:LED的照片为蓝光风险评估测试:A:对于蓝光的风险评估测试的10瓦LED筒灯灯具。
本灯具属于风险灯具。组2,B :15 W的室内LED照明的蓝光风险评估测试。本灯具属于高危人群1. C:特写高亮度单芯片白光LED的D视图:定向LED灯的通常用作GU10卤素灯的替代品。 E:多芯片LED纳入100模具。
ROS有三个主要目标: 1、细胞膜脂质过氧化,诱发丙二酸醛(一种强力诱变化合物);以及膜破坏。视网膜中含高度集中的细胞膜,对氧化压力特别敏感。2、蛋白质和酶改变它们的结构和活性; 3、核酸,与蛋白质合成中的突变、肿瘤形成和改变(Heil et al., 2010; Cadet et al., 2010)。此外,活性氧(ROS)诱发细胞过早衰老过程,改变细胞对其他类型压力的应对能力。
三种类型的光学辐射中,紫外线辐射携带能量最高(UVA 315 – 400 nm, UVB315 – 315 nm, UVC 100 – 280 nm),光化学反应最活跃。紫外线辐射由有机分子和苯环中的某些常见发色团所吸收。这些发色团大量存在于DNA中,可以导致细胞死亡和诱变。
有三类系统能有效保护细胞和组织免受生理氧化压力(Siu et al .,2008): 1、非酶分子如硫醇、维生素(E和C)、胡萝卜素类……2、金属离子去除剂 3、特定的酶,如超氧化物歧化酶、过氧化氢酶和谷胱甘肽过氧化酶……(Grimm et al., 2000b, c; Siu et al., 2008; Noe11,1980)。
潜在的光诱导损伤的第三机制是数码相片管理软件(或光声)。当光能量沉积大于可发生的机械松弛,它就会产生 。脉冲小于1 ns的剪切力或气穴诱导组织的破坏。需要可从诸如强脉冲激光而得到的注量率,就会造成光机械损坏。
依赖于波长,所吸收的能量和照射时间,两类光损害已在视网膜中得到了描述。(Gorgels and Van Norren, 1998; Harwerth and Sperling, 1971; Ham et al., 1979, 1976, 1978; Wu et al., 2006; Kremers and van Norren, 1989).
I类损害具有作用光谱是等同于视色素的吸收光谱,它在几个小时的暴露后可以显示到周向相对低的辐射度,低于1毫瓦/厘米2,白光。最初的损害主要分布在光感受器。视紫红质,人类的视网膜主导颜料,吸收光源峰值是507纳米主要集中在绿光范围内。对于猴子,不可逆转S(短波长)锥损害的照射时可以在460nm观察到的,而M(中等波长)和L(长波长)锥体的可逆的损害分别要照明在520和630-720纳米。初始损伤通常局限在视网膜色素上皮细胞(部分脂褐素介导的),但可接着延伸到光感受器,(Bolton et al., 2001)
II级损害峰值在短波长,在蓝光(400-480纳米)范围内的作用光谱,这种类型的损坏暴露下发生的白光高辐照度,高于10毫瓦/平方厘米。初始损伤通常局限在视网膜色素上皮细胞(部分脂褐素介导的),但可接着延伸到光感受器。(Grimm et al., 2001; Hafezi et al.,1997; Gorgels and van Norren,1995).
表4:
| 组织 / 分子 | 波长( nm ) | 作用机 制 |
| 眼角 膜 虹 膜 镜 头 视网 膜 RPE 脂褐 素 叶黄素 II 颜 料 | (300)800 黑色素300-700 峰值在365,8年 450nm,65年 400-700 视紫红质:峰值在507 SWS:峰值在450 MWS:峰值在530 LWS:峰值在580 黑色素:400-700nm 355-450 A2E:峰值在430-44- 叶黄素:峰值在446 黄嘌呤:峰值在455 玉米黄质:峰值在480 | ABS选项/散热 ABS选项/散热 ABS选项/散热 光化学损伤I型:最大 507nm II型:最大较短的波长 ABS选项/散热潜在的化学损伤 光动力效应 ABS选项/散热 |
4、光线和人眼:光是怎么到达人的视网膜的
人眼接收整个太阳光谱。在到达视网膜之前,辐射已被眼组织吸收或者反射出去。(Sliney, 2002, 2005). 表4总结了不同的辐射波长与眼部组织的相互作用,特别是辐射波长和眼底色素之间的相互作用。
4.1眼角膜
人的眼角膜吸收所有的100纳米到280纳米的UVC,反射295纳米和295纳米以上UVC的辐射能。然而人角膜很有效的吸收300纳米到320纳米的UV辐射和30%到40%的320纳米到360纳米的UVA辐射。过度暴露于UVA(315-400纳米)和UVB(280-315纳米)可能会导致角膜上皮的可逆损伤,然而暴露于UVC辐射(100-280纳米)可以在角膜基质和鲍曼膜诱导更深病变导致角膜混浊及新生血管。在长期反复的紫外线照射下,可能会出现气候性滴状角膜病变,翼状胬肉和结膜肿瘤,以及眼黑色素瘤 (Vajdic et al., 2002; Singh et al., 2004; Hu et al., 2008).
红外线辐射(IR)的波长范围是从780纳米到1纳米。从780纳米至1.4 WM的IRA辐射大多角膜和IR也被吸收,而1.4至3 WM的IRA大多是由角膜,房水和玻璃体液吸收的(图3)(Sliney,2002)。超过1.9 WM的IRA,只能被角膜吸收。红外线通常只造成刺激,而高能量的(>30J / CMZ)也可引起深间质病变,甚至穿孔((Oliva and Taylor ,2005;Young,2006; Gallagher and lee,2006)。长期暴露在IRC可能诱发角膜病变,特别是上皮。因此,强烈推荐在阳光这个层面上保护眼睛(Sliney,2001,2006)。
4.2虹膜
虹膜色素含有黑色素,吸收所有的可见光波长。它也响应通过收缩而进入眼睛的光。当暴露于紫外线辐射,瞳孔直径为约1毫米,当暴露于红外线辐射时,瞳孔直径可达到7mm左右。瞳孔反射的机制将在处理视网膜神经节细胞、说明蛋白黑素的段落进行详细说明。这种机制是对于保护视网膜抵抗光损伤极其重要有效的。
图3紫外线辐射和与人眼的红外辐射(所有年龄)的互动。
图4:UVA辐射和可见光互动<9岁
图5:可见光互动> 10岁
图6:可见光互动/ 60-70岁
4.3 晶体
成人眼睛的晶状体强烈吸收UVB的较长波长(295-315纳米),和315-390纳米的全部UVA和部分的近红外线波长。UV光诱导的白内障(Oliva and Taylor, 2005; Robman and Taylor, 2005; Asbell et al., 2005)而蓝光可诱导老化透镜的光动力损伤。然而,老化透镜积聚的化合物也可作为抗氧化剂(Asbell et al., 2005; Robman and Taylor, 2005)..红外辐射还可导致白内障(Roh and Weiter, 1994).
4.4 视网膜
因为透镜吸收附近的紫外线以及远处的红外线辐射(小于400纳米,大于800纳米),角膜和透镜吸收超过980纳米以上的红外线辐射,玻璃质吸收超过1400纳米,最大至10纳米的光,非电离辐射到达眼角膜受所谓的电磁波频谱(390-780纳米)有形成分以及附近红外线(图五)的限制 (Boettner and Wolter, 1962; Sliney, 2002, 2005).特别是紫外线到达视网膜的成分低于1-2%。只有在年轻的孩子中(8-10岁以下),320纳米的紫外线到达视网膜的成分稍高(但也只能达到8%)(图4)。这个传播紫外线到视网膜的窗口最初通过光化学过程来加速脂褐素的形成在年轻人当中也许能够解释。(Gaillard et al., 2011).
当色氨酸的代谢产物吸收紫外线并在透镜上积累时,这种传输带就会逐渐减少。到20岁,只有0.1%,到60岁,除了没有晶状体眼的人,视网膜接收不到任何紫外线。视网膜的吸收值在400-600纳米之间,而视网膜传输延伸则在400-1200纳米之间。杆细胞穿过视网膜,除了中心区域(小凹),能够提供暗视觉。他们的敏感度范围在10-6-1流明,具有相对比较低的分辨率和较高的敏感度,但是缺少色彩信息。在体外,棒吸收至少498纳米,但是,在体内,考虑到透镜和黄斑色素的吸收,棒吸收可以达到507-530纳米。视锥细胞负责明视觉。他们的敏感度在一个比较宽泛的亮度范围内,103-108平方烛光。不同类型视锥吸收值详见表格4.在体外,蓝锥最大的吸收值为420纳米,绿锥为530纳米,红锥560纳米,而在体内,考虑到透镜的吸收以及黄斑色素,他们的吸收范围为450,540和570纳米 (Dartnall et al., 1983). 杆视觉色素是视紫红质,由蛋白质,维他命A醛,11-顺式-视黄醛构成。锥感光色素也是由视网膜以及不同的蛋白质构成。光传导是由光在视紫红质上由11-顺式-视黄醛转换为全反式视黄素。激活视紫红质会产生一连串反映导致钠/钙通道闭合,感光器膜的超极化,细胞内钙离子浓度降低(Pepe,1999).光传导系统是又一些蛋白质(例如S-调制蛋白【恢复】,S-抗原【作用】,乌苷酸环化酶激活蛋白,光导蛋白,以及钙调素)以钙依赖的方式调节的,包括光明和黑暗的适应。
视紫红质通过维甲酸代谢的视觉循环在视网膜色素表层上再生。(Bok, 1990).视网膜色素表层细胞在视觉循环额光感受器维持中很活跃,因为他们每一天都在吞噬感光体外的节段,细胞内磁盘包含着视觉色素可用来他们不断的更新。视觉循环在视网膜色素表层细胞上积累的有毒副产品,例如脂褐素是高感光的(如下)。光化学损伤已被证明通过与视网膜外层呈现不同的颜料和光相互作用产生(感光细胞和视网膜色素上皮细胞)(表4)视蛋白和视黄醇(Boulton et al., 2001).
4.4.1黄斑色素
在黄斑,黄色的黄色斑素一般集中于视网膜内部中心的凹处,叶黄素和玉米黄质有效地吸收400至500纳米之间的蓝光。(Landrum and Bone, 2001; Wooten and Hammond, 2002; Stahl, 2005; Whitehead et al., 2006). 叶黄素可以防止氧化损伤并且是为单线态氧清除剂。(Krinsky et al., 2003; Li et al., 2010; Davies and Morland, 2004.). 它们主要集中在儿童的黄斑,减少与衰老,并且整个生命只能由营养摄入而增加。营养补充剂(含有黄斑色素)已经显示出增加的黄斑色素密度在老年患者摄入的几个月之后,因此通过减少氧化的光损失,容易降低年龄相关性黄斑变性的进展风险。(AMD(Carpentier et al., 2009; Loane et al., 2008).
4.4.2脂褐素
正因为视网膜色素上皮细胞与氧化光感表皮和再生天然色素的噬菌作用有关(Bok,1990)反应后的残留物会随着年龄增长而增多。细胞顶面上的视网膜色素上皮细胞黑色素颗粒(真黑素和褐色素)、微型过氧化物酶体、抗氧化酶,特别是在300-700纳米黑色素范围内吸收过量量子的情况下,会起到至关重要的抗氧化保护机能。随年龄增大或是某个视网膜失调现象的出现,视网膜色素上皮细胞中的载色体便会混合成为脂褐素。对于蓝光的刺激,脂褐素是款有效的感光剂,它能引起光力学效果并随即产生光化学反应(Boulton et al., 2004; Wang et al., 2006) 并最终造成对视网膜色素上皮细胞和感光器永久性的损害。(Wassel et al., 1999).A2电子信息系统中,脂褐素发亮的主要组成部分是始于两个冷凝分子反视黄醛与磷脂酰乙醇胺(脑磷脂)在表皮一系列反应所构成的条状物 (Sakai et al., 1996; Shaban and Richter, 2002).反应呈现出在430-440纳米范围内光线的吸收达到峰值,结果造成活性氧簇低于正常光刺激(Reszka et al., 1995; Parish et al., 1998)。有趣地是,年龄能引起脂褐素结构变化,提升隐性光力学效果,当光照时,引起更高活性氧簇产生(Wu et al.,2010)。脂褐素眼睛潜在地老化,当蓝光照射时,可能地引起氧化伤害。其他几个纯正视网膜载色体包括黑色素,原卟啉,全反式视黄醛(Wielgus et al., 2010) 脂褐素成分(Reszka et al., 1995; Wassel et al., 1999) 被用作感光剂(Yang et al., 2003; Godley et al., 2005).相反地,如果表皮上的黑色素担当一个强有力的保护吸收体,那么黑色素在人类视网膜中的作用还未被人们所知晓(Hu et al., 2008)。脂褐素同黑化脂褐素粒子结合是具有强光毒性的。所以可能发生隐性光线视网膜损害的蓝光波长是介于400-460纳米之间(蓝光危险性(Ham, 1983; van Norren and Schellekens, 1990; Algvere et al., 2006).
5. 昼夜周期和瞳孔反射的视网膜控制
除了锥体和杆,神经节黑视蛋白的细胞,感光色素最近已经发现了在神经节细胞的子集,描述了含有黑素蛋白,他们是集中在中央凹处,相比视网膜的其它部分的是4倍以上。(Hattar等。,2002;汉金斯等人,2008;塞莫等人,2010)。(Semo et al., 2010; Viénot et al., 2010). 它表明,感光体的输入可以部分控制昼夜周期和瞳孔反射,但这些功能通常可以通过在不存在感光体输入的黑视素敏感性进行单独驱动。即使不需要黑视蛋白-神经节细胞,它也会用于昼夜调节,但是缺少这些就会减少40%的昼夜响应。(Panda et al., 2002; Panda, 2007; Ruby et al., 2002; Tsai et al., 2009). 在人类中,从分离的神经节细胞的光响应推导,黑素蛋白的刺激和瞳孔反射在体内的峰值为480纳米(Brainard et al., 2008; Mure et al., 2009)。然而,ipRGCs具有RPE无关的图像再生系统,具有从黑素蛋白的两相开关成在480nm的活化元黑素蛋白,然后在另一段较长波长(Mure et al., 2009)。返回到其基础状态。白色和蓝色LED光谱在460nm和480nm之间的很不平衡,是峰值的460nm和谷值的480nm。由黑视素,视网膜神经节细胞在人体中调节昼夜节律的机制尚未完全明了。这是最近表明,他们的反应线性对比的光刺激的变化,而他们表现出对频率复杂的变化反应相对于正常的响应时间有所延迟。黑视蛋白 – 神经节细胞可不会简单响应太阳光的各种频率。(Fukuda et al., in press). 迄今为止,在睡眠调节和瞳孔反射的LED的光谱的潜在后果仍有待研究。事实上,瞳孔反射示出了两个部分组成,一个杆锥体速度快的响应,接着从该负责维护瞳孔大小黑视蛋白 – 神经节细胞中的稳定的响应。如果感光神经节细胞受损或刺激更大瞳孔可能导致增加的视网膜暴光。因此瞳孔对于白光LED曝光的响应仍然在体内进行评估。
6.光与视网膜病变
如上详述,蓝色光与构成视网膜与衰老视网膜或在病理条件下积累分子的相互作用是易受诱导进而损害RPE细胞,感光细胞以及神经节细胞的。蓝光危害已经超过40年前确定的标准。 诺勒等(1966年)是最早认识到潜在光化学间由蓝光光感受器/ RPE引起的损害。
许多其它研究表明,在可见光谱中的最短波长为对视网膜来说最危险,光致损坏机制先前已经被别人研究过了(Wenzel et al., 2005;Wu et al., 2006)。我们将不会细化光致视网膜的机制。
我们的目的主要是评估新LCD,和自然光以及其他人工光源的相比,对于眼部风险的大小。
6.1 阳光和视网膜病理
6.1.1 急性照射 : 太阳能视网膜炎
看太阳或日食几分钟而造成得直接视力障碍,也已经研究了很多年(Young,1988年);从志愿患者的眼睛注视太阳与外片的轻度变化和光感受器内部,38-48小时后,RPE细胞都有不同程度的损伤。这在很短的探索时间段内解释了良好的视力。观察的猴子在暴露后48小时后,对RPE的损害是非常类似于在RPE的损害,蓝色光化学损害(Ham et al., 1978); 虽然视网膜色素上皮能够迅速恢复血视网膜屏障,光感受器观察到一些时间的曝光后永久变性(Tso and La Piana, 1975; Gladstone and Tasman, 1978)。需要提醒的是,引起不同程度的视力障碍及中心暗点是多么重要。现在众所周知,日光诱导的视网膜病变,是从类似的蓝光曝光,而不是从热损伤化学损害导致。除了在精神障碍的情况下,没有人盯着太阳和自然的驱逐反射太阳反射光,会进行灼伤保护。然而,在某些特定的情况下,增加了可能出现的视网膜暴露。中午被太阳照亮的积雪有可能达到10.000cd / m2,反之什么可以被认为是亮度,它不直接接触,而是地面的反射,这是最重要的环境暴露因素(Sliney,2005)。
对角膜上部的保护是防止角膜被曝光进行的保护,减少亮度这个条件可能会增加从地面反射外围曝光 ,同时增加了上方的的开口。例如,长时间暴露在新鲜的雪天空朦胧可能诱发过度曝光和病变,飞行员和暴露在沙漠几个月的士兵表现出眼底病变类似于太阳能视网膜炎,长期积累低强度阳光曝晒会引起类似的病变,即使这样的病例报告,也还有待证明。
6.1.2. 长期接触: 黄斑变性与年龄有相关的联系吗?
没有关于日光曝晒和年龄相关性黄斑变性(AMD)之间的因果关系的共识,从流行病学研究的应运而生,氧化胁迫和亚临床的局部炎症已经证明在与视网膜老化过程是相关联系的。通过苯并(a)和毒性能够清楚地显示出有助于AMD公司 (Khandhadia and Lotery, 2010; Cano et al., 2010; Ding et al., 2009 , Xu et al., 2009) 。没有结果可以证实阳光照射能够加重后果。然而,据河狸坝眼科研究,在与阳光有关的早期年龄相关性黄斑变化的5年发病率之间的相关性,显示了闲暇时间花在户外活动的人,青少年是(年龄13-19岁)和30多岁(年龄30-39岁)与早期年龄相关性黄斑变化的风险是显著关联的。红色或金色的头发的人们更有可能比深色头发的人更容易发生黄斑改变 (Cruickshanks et al., 2001).。十几年的发病率研究证实了这些发现。确实,控制用于年龄和性别的同时,青少年期间每天暴露在夏天的太阳下超过5小时,和这些暴露在同一时期不到2小时相比,致显影增加视网膜色素异常和早期年龄相关性黄斑变化有更高的风险。(Tomany et al., 2004). 在另一项研究中,阳光暴晒的影响是对838名的船工评估。在这个特定人群,相对暴露于蓝光和紫外光是可能的,并且表现出作为曝光和AMD标志之间的关联。与年龄匹配的对照相比,患有晚期年龄相关性黄斑变性(地理萎缩或盘状瘢痕)有显著高于暴露于蓝光。
可见光较前20年,但没有相对于暴露于UV-A或UV-B的不同,这表明蓝光曝光可能与AMD的发展,特别是在较先进的年龄(Taylor et al., ,1992)。这些协会没有在其他研究中,例如在法国POLA研究发现
(Delcourt et al.,,2001),但这些研究并没有设计为表现出这样的关联。由于AMD观察动物的视网膜病变有类似的功能,可以通过蓝光照射实验诱导,防止蓝光应该建议在所有年龄段。考虑AMD新的遗传因素,与阳光照射和遗传标记的关联应该是有趣的研究。在另一项研究中,对有阳光暴晒的影响838名船工进行评估。在这特定人群中,相对暴露于蓝光和紫外光是有可能的,并且表现出作为为曝光和AMD标志之间的关联性上。与年龄匹配的对照相比,在前20年患有晚期年龄相关性黄斑变性(地理萎缩或盘状瘢痕),相比较高的暴露于蓝色或可见光,和对于暴露于UV-A或UV-B有显著的不同,这表明蓝光曝光可能与AMD的发展,特别是在较为年轻的年纪(Taylor et al., 1992)。这些协会没有在进行其他研究,例如在法国POLA研究发现(Delcourt et al.,,2001),但这些研究并没有设计为表现出这样的关联而进行研究。由于AMD观察动物的视网膜病变类似的功能,可以通过蓝光照射进行实验诱导,防止蓝光应该是建议在所有年龄。考虑AMD新的遗传因素,与阳光照射和遗传标记的关联应该是一项有趣的研究。
6.1.3 蓝光和青光眼或其他视神经病变
奥斯本等人发现,线粒体酶,比如细胞色素和黄素氧化酶吸收光并产生活性氧物种。因为神经节细胞是未受可见光保护的,它们直接暴露于这种照相氧化刺激。在体外,神经节细胞发生凋亡的胱天蛋白酶是独立的形式。在光下(400-700 n)的曝光在老鼠体内,神经节细胞的痛苦只发生在蓝光曝光感应体征(Osborne et al., 2008, 2010).。此外,因为黑素蛋白 – 神经节细胞参与光诱导瞳孔反应,患者神经节细胞功能障碍,前部缺血性视神经病变证实了在受影响的眼睛瞳孔响应红色和蓝色光在全部的眼球损失了,这表明在这些患者的视网膜照明能被增强,从而增加了蓝光危险(Kardon et al., 2009)。
越来越多的证据表明,昼夜中断容易引起青光眼发生,并且,它可能提高神经病发病率(Drouyer et al., 2008; Agorastos and Huber, 2011)。然而,迄今为止没有流行病学研究已经评价日光或蓝光曝光的进展,或青光眼或其它视神经发生病变的之间的相关性。
7.人工照明和眼病
7.1. 眼科仪器
自20年前,在手术室中视网膜损害的风险已经被清楚地认识到,即使第一次评估是在1978年提出的动物。手术显微镜可诱导旁黄斑病变,非常类似于由蓝光曝光实验所导致的情况(Azzolini et al. 1994-1995)。此外,蓝色光的过滤显著降低,即便是不被抑制的风险。通过对散瞳视网膜照明的持续时间也可以增加视网膜损坏的风险。在1983年,在133病例病人中,它表明了, 在蓝光范围内的光纤的光衰减手术患者的视力要强于高强度的钨丝显微镜下测试的视力(Berler and Peyser,1983)。此后,相对于红色和紫外线范围波长的若干报告确定了蓝光输出是视网膜的主要危险。(Cowan, 1992)。由于手术时间限制,长时间的手术和亮度的限制期间的学生面膜应用,以减少此类事故。
7.2焊机光
弧焊暴露于紫外线以及蓝色的光。辐射在UV范围内主要是吸收处由角膜和晶状体。如果焊机是不受保护的,会引起“弧眼”,熟知的焊接工职业危险。即使很痛苦,但预计不会对角膜结膜炎诱使任何永久性的眼部损伤。另一方面,可见光,尤其是在蓝光范围可能会使视网膜光化学损害(Mayer and salsi ,1979; Naidoff and Sliney,1974)。奥野等人评估了蓝光危害的各种光源,发现电弧焊用相当0.6-40S这个时间段内,这是在允许曝光时间的最高有效辐射率之间,这表明电弧焊可能对视网膜是非常危险的 (Okuno et al., 2002)。最近,对低碳钢的CO(2)弧焊潜在的蓝光危害进行了评估。有效蓝光射线介于22.9至213.1 W /(平方厘米/SR)。相应的最大可接受曝光时间只有0.47-4.36 S,这意味着总的日暴露于焊接电弧没有对眼睛保护不应超过此持续时间。因此,视网膜如果没有适当的保护进行焊接,就可能会出现蓝色的光毒性(Okuno et al., 2002)。一些病例报告已经发表,强调焊接应在良好的背景灯光以来瞳孔收缩实现永久足够的保护,响应进行到引弧应该是屏蔽辐射的初始的浪涌太慢。
8. 阳光和人工光源:如何比较潜在的危险
8.1天然和人工照明的光度量方面的比较
人类观察者接触到数量有限的自然光:太阳,月亮和火焰。太阳,它提供自然采光是迄今为止最激烈的。它的角大小为圆弧的0.5度。其亮度是1.5×109 cd / m 2 的,最大值就是在我们头顶,亮度随高度下降而递减。太阳是一个光源却不应该直接用肉眼观看,用肉眼观察时其亮度超过10000 cd / m 2 的人造光源。表5和表6的几个常见的日常使用的光源亮度的数值给予说明。因为这个原因,灯应始终被集成在该屏蔽直接光的照明器具。由奥野等前期研究(2002)曾透露,发现了太阳,电弧焊,等离子切割和放电灯的弧在对应的唯一允许的曝光时间0.6-40s内有极高的有效辐射率,看着些光会对视网膜有很大的危害。(Okuno et al., 2002).
扩展的人造光源,如荧光灯管,亮度有大约10000 cd / m 2 或20000 cd / m 2 的。蓝天的亮度是一个扩展的光源,不超过5000 cd / m 2 的。它与一个朦胧的天气有关,亮度围绕太阳的周围增大。在户外,延长表面可能是明显的。例如,白色的墙壁朝南,沙子或由太阳直接照射雪地的亮度可以达到50000 cd / m 2 。在这种情况下,建议戴安全防护眼镜。眼科三级眼用的眼镜,这是最常见的商业产品,8%和入射光的17%之间发送和白色表面的亮度降低到小于10000 cd / m 2 的。 在一个LED,其发光的芯片是如此之小,虽然发射的光通量是温和的,亮度却可能会非常高。例如,对于射出仅为212流明的光通量的LED,ANSES已经测量的平均亮度达到了6.2 ×107 cd / m 2 的,这比常规室内光源高得多。另外,在不久的将来,随着LED的发光效率的预期增加,亮度会变得更高。事实上是,该LED灯具没有直接的隔离罩使得人眼可以避开它的话,它可以有非常高的亮度。这会引发潜在危险。
8.2 光谱功率分布的比较自然和人工照明
日光很大程度上是可变的,这取决于日,季节,纬度和天气的时间。然而,它的变化遵循频谱和强度方面定期规律。据显示,日光的相对光谱功率分布可以为三个主要光谱成分, 平均频谱分量,既反映了短波长与长波长的相对含量的频谱成分,由于大气中的状态的频谱变化,又反映小的进行频谱分量说明。因此,来自太阳的直射光富集在长波长的辐射,特别是在日落时分,而蓝色的天空时,在短波辐射富集。如在第2章说明的,天然或人造光的颜色是由相关色温指定,即密切涉及由一个真实源到黑体的温度,也涉及了辐射相同颜色的光发射的光的颜色比例。图7显示了可比较的阳光光谱不同的人造光源的光谱,与标绘在图蓝光危害的功能。图8显示,不同白光LED的光谱都在实验部分提供了比较。在自然的环境下,由于白天阳光的光谱变化,人类不应该被暴露于强烈的蓝色辐射下直至夜晚。由于累积暴露可能诱导特异性病变,所以人工光源不应该有高的蓝光包含的内容。
眼睛不断地适应光线,可以让让人们适应120年的照度,从几乎完全黑暗的高度到明亮的环境都可以适应。然而,在给定时间,视力仅在二三十年范围是可能舒适的。强光会引起不适,而不削弱可见度,但它带动的观察者把目光从刺眼源的地方挪开,如果光源直接面向观察者,光线就会增加。由于眼部媒体内的光散射造成了眩光失能,它的创建则摘除了任何对比度和呈现不足以查看任务的面纱。高亮度的光源产生的眩光亮度减少了作为点源的方向和视线的方向之间的角度的逆转。
在黑暗中的适应,绝对阈值随时间缓慢减少。一些机制在适应过程中不断运行。瞳孔几乎是瞬间收缩或扩大。杆和视锥细胞的敏感性在在黑暗中的适应变化缓慢,从而降低视力,比如神经耦合的增加。到了晚上,当眼睛适应了黑暗的环境中,在视野中的人造光源,如汽车大灯或孤立的灯泡可能产生的光幕,会产生无形的低度和中度的反差。
视觉敏感度和敏感度适应取决于波长和所述目标的偏心或光源。视觉灵敏度在白天最大约为555纳米,在黑暗视场的周边会转至507纳米。因此,在视场的周边的带蓝色的光将变得比夜间黄色光更为明显,在平行眩光的危险性也就会增大。作为第一近似值,它被承认的光谱灵敏度在夜间的眩光大约507纳米,对于棒的最有效辐射最大,但对于眩光的机制尚未完全了解。在黄昏黎明的条件下高杆耦合与杆和视锥信息的在视网膜神经节细胞的下的融合可以解释这种蓝色光炫目的效果。总之,灯带都会有相对高的含量蓝光,例如LED容易产生眩光。
在自然环境中,天空的亮度是相当稳定,约为5000 cd / m 2 的,并在一天通常在夏天一天中的正午,亮度可以达到最大值。当眼睛应该被太阳镜来保护其最大亮度值。不直接观看它,除非是在日出或日落时,其亮度是大约是低或中等的色温。毫无疑问地,当亮度和光的色温度越高,蓝色光的危险增加。
9. LED蓝光危害风险评估
为了进行蓝光风险的定量分析,ANSES工作组中选出的在2010市售产品的样品:发光二极管,LED和基于LED的灯具阵列。
任意选择单芯片的高亮度LED:六个蓝色的,最大发射波长在LED435-460纳米之间的LED,十一个具有5100 K-8400ķ之间的相关色温(CCT)的冷白光LED,七个具有3800 K-4000ķ之间的相关色温(CCT)的中性白光LED,十个2600-3400k的暖色白光LED。
两个10×10阵列的,上述类型的冷白光和暖白光LED
含有100模具(10×10),具有7000流明的助熔剂,冷白,暖白两种多芯片LED。
一个冷白光LED并配备1厘米直径的准直器。
使用有一个LED的3瓦的消费灯和具有GU10插座基座一个。
一个10瓦LED筒灯灯具,一个15瓦LED筒灯灯具,一个使用LED的小手电筒。
这些产品在照明,标牌和显示应用中都很常用。
图7:四种不同类型的灯的光谱功率分布。:A:暖白色荧光灯管(CCT¼3000 K)B:冷白色荧光灯管(CCT¼6500 K) C:高压钠灯在户外公共照明 D:中使用(HPS)灯:用于各种金属卤化物灯户外照明应用。
图8:
9.1 方法
蓝色光的风险评估是在符合EN62471标准的要求下进行的。这个标准涉及灯和灯具使用设备的光生物安全性,建议限制来自这些辐射光源的暴露。它提供了基于四射和辐照度分级制度。该标准考虑所有可能,从紫外到红外波长影响眼睛和皮肤(热和光化学危害)的光生物危害,并根据最大允许暴露时间的价值定义了风险组。
蓝光的危害分类如下:(表7)
当最大曝光时间大于10000秒,无风险。
表7:
风险组和蓝光风险暴露极限值EN62471(ELVS),它定义为灯和灯系统一个分类方案。都是来自于灯或者灯的从产品的危害,基本上有被称为高危人群四类。随着风险组数量的增加,所以也没有风险的存在。
| 最大容许的曝光时间(t) | 风险组 |
| t ≥ 10 000 s 100s≤10 000s 0.25s≤t<100s T <0.25s | 风险组0 风险组1(低风险) 风险组2(中风险) 风险组3(高风险) |
风险组1(低风险)当最大曝光时间是100-10000秒之间时。
风险组2(中风险)当最大曝光时间是0.25-100秒之间。
风险组3(高风险)当曝光时间小于0.25秒
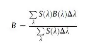
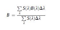
重要的是要注意,以限定暴露限制,实验是在兔子和一些猴子中进行,急性暴露于光(具有不同的波长)。进行眼底检查,并达成了毒性限制时,观察到的视网膜白色病变。然后,当确定此限制,加入10倍的安全系数。蓝色光的危害限制是为了防止照片黄斑病变,而不是基于长期曝光。明知无肉眼观察病变可发生光化学损害的情况下,这些标准或许应该使用更先进和精确的方法来分析视网膜形态和功能的修改。LED的发射可见光不直接发射紫外线和红外线辐射,因此是没有与这些辐射相关的风险的。此外,光通量的相对较低的LED ,国家的最先进 LED会对其进行控制。从而,蓝色光的风险,是与LED和LED系统打交道时要考虑的唯一。 实验过程和EN62471的极限值与ICNIRP的(非电离辐射国际委员会)的指导方针是一致的。蓝色光的风险评估是基于使用的蓝色光的光毒性函数B(L),其峰值在约437nm,评估的有效辐射:(见10的图的黑色曲线)。B(L) – 加权四射应 在视场(FOV)的有效场。确定并取平均值,视野,正是由于标准和ICNIRP准则规定确定。它以曝光时间的增加,以便考虑在视网膜上的眼睛移动的光源图像的扩展。最小视角场为1.7毫弧度的,为0.25秒,11毫拉德(风险组2和3之间的限制)的曝光时间为100秒,110毫拉德(风险组1和2之间的限制) 的曝光时间10000秒(高危人群0和1之间的限制)。该LED组件的表征(单独的LED,数组,多芯片LED灯)的使用成像亮度计由被测映射装置的所有的发光区域的亮度(cd / m²的)来完成。图9示出了具有3伏的输入电压和350 mA的电流强度测量的冷白光LED的亮度映射。在本例中,由LED发出的光通量为67流明。在轴向方向上测得的,该LED具有约1.1107坎德拉/ m 2的亮度,平均在在一个1.4×1.4平方毫米正方形有效源上。此外,测定LED元件的光谱功率分布,由ANSES选择的蓝色和白色的高亮度发光二极管给出的结果示于图10。 光谱功率分布,采用CIE标准明视能见度函数在辐射数据的亮度数据转换而成。[单位为W /(平方米/SR)〕。在B(L) – 加权辐射的LB从平均辐射勒在视场确定用下列关系式(Sliney,1994):
图9. 冷白色LED的测量的亮度图,在350 mA和3 V操作的最大亮度为约1.3107 cd / m 2 。此LED对应于图 2C。
光谱功率分布
蓝光LED
光谱功率分布
冷白光LED
光谱功率分布
中性白光LED
光谱功率分布
暖白光LED
图10:该研究LED的光谱功率分布。黑色曲线是蓝光光毒性函数B(Ɩ)。黑色曲线是蓝色光毒性函数B(λ)。
其中,B是从光谱功率分布S(l)和光毒性函数B(L)计算的:
在B因子表示从光源有助于蓝光风险发射光功率的分数。在所采样的蓝光LED的情况下,在B因子峰值是0.71,波长为460纳米和峰值是0.92,波长为435纳米的峰值之间。
图11. 它表示B因子与测试白光LED相关色温的变化。该图表明,冷光源LED在频谱发出的能量是暖光源LED约三到四倍多的在蓝光风险部分。对于灯和灯具中,B(L) – 加权辐射率使用,以产生在视角场值定义风险组边界配备了三个不同隔膜的非成像辐射计进行测定。在200mm的观看距离,其对应于所述的最坏情况的设备均会以 EN62471标准进行试验。然而,其他的测量也是对应于500勒克斯的照度,该标准定义了作为普通灯照度的相关距离 。
尽管发光效率比较有利,但计算表明, B因素就是,一个白色LED比相同的、相关色温的日光发射的光高约20% 。
图11:图表表示B因子(光功率的促成的的蓝色光风险的分值数)作为所选择的暖光源LED的相关色温度的参数。
9.1.1单芯片的高亮度白光LED和蓝色LED的评估结果
对LED测量的亮度图,方便提取在视场对应的曝光时间,从0.25s-10 000s各个的亮度进行了处理。因此,LB在该范围内的所有的曝光时间连续评估 B(L)- 加权辐射率。与曝光极限的曲线LB曲线的交点确定为最大允许曝光时间,同时,风险组(表12)
图12: 曲线图为六种类型的0.5 W的蓝色LED发光辐射通量的确定的LB曝光时间的变化。红色曲线是接触限值。相交点对应于最大允许曝光时间,风险组。
表明了工作组所选定的六个蓝光源LED的LB模块。在此实例中, 操作0.5w的LED,使之大约是额定最大值的辐射通量的一半。当视场是比光源小的时候,LB曲线具有对应于均匀亮度的第一高点,视场比和所述有效光源对比的尺寸越大, LB亮度就会再次以t -2 减少。第二平台当曝光时间在10秒和100秒(ICNIRP,2006)之间的视场是恒定的,100s以后 ,视场再次增加,LB亮度再次以t -1 减少在这个例子中,这些LED的最大允许暴露时间为15秒和20秒之间。这些值对应于风险组2(中度风险)。表13:
图13:两种相同的冷光源LED的有效辐射LB的细节, 分别使用 10毫米直径的准直仪却不使用其他任何的光学系统,作为曝光时间的工具。该曲线图显示了暴光极限是从来没有被没有准直器(风险组0)超过。然而,当LED被用准直器所使用的,暴光限制超过60秒。因此,在与准直器在LED属于风险组2。
表8中包含了所有的单芯片蓝光LED所获得的结果。将蓝色LED调到1 W的辐射通量。在这个辐射通量基础上,风险评估表明,最大允许曝光时间为约3-4秒。风险组依旧是2组,但给出这些LED在标牌和显示应用程序的应用,这些限制特别短。亮度数据的分析表明,风险组3(高风险)辐射通量超过15瓦,可以达到这样的蓝光LED,这不可能发生在单芯片的蓝光LED上。相反,有可能来确定这些蓝色LED最大的辐射通量,风险组限制为1. 最大辐射通量然后约为0.07 W.
所有单芯片高亮度的白光LED都会展示出来,详见表9.
当我们研究操作光通量为100流明的冷光源LED,风险组(无任何风险)从未达到接触限值。然而,这些冷光源的LED在光通量为200流明的时候依然可以被运用。(其最大额定流量接近300流明)在200流明时,所有的冷光源LED灯允许暴光的最大时间会在40秒到100秒,进而调入到风险小组2.
表8:
选定的的单芯片蓝光LED中实施风险评估的结果。
| 颜色 | 辐射通量(w) | 辐射 W m-2 sr-1 | 200毫米范围内允许最大的曝光时间 | 风险组 |
| 蓝光 | 0.07 0.5 1 | 21 000 150 000 300 000 | 100-10 000 15-20 3-4 |
|
表9:
针对选定的LED灯的蓝光危害的评估结果
| 颜色 | 光通量(lm) | 亮度(cd/m²) | 200毫米范围内允许最大的曝光时间 | 风险组 |
| 冷光源 柔和 白光 暖光 | 100 200 100 200 100 200 | 1.6107 3.2107 1.6107 3.2107 1.1107 2.2107 | 接触限值未达标 50-100s 接触限值未达标 100-10 000s 接触限值未达标 | 0:无风险 2:中等风险 0:无风险 1:低风险 0:无风险 |
类似地,在100流明的光通量操作的情况下白色光LED的所有风险组 下降为0,在200流明操作时,接触限值 约达到100秒的曝光时间达,色温等于或大于4000 K,这就是风险组1(低风险)。
暖光源LED从未超过接触限和都在风险组0(无风险),甚至当他们在200流明的光通量进行操作也是无风险的。这些LED应达到至少500流明的光通量为属于风险组1(低风险)。
这里研究的单芯片LED呈现对应于最大允许曝光时间小于0.25秒的高风险(风险组3)。蓝光LED和冷光源LED根据自己的相应色温和他们的工作点可能属于风险组2.同样,柔和光源LED可以属于风险组1。与此相反,这里所有研究的暖白光源LED属于风险组0(表10)。
表10:
针对暖光源和冷光源多芯片的LED在200毫米范围内的风险评估
| 类型 | 亮度(cd/m²) | 200毫米范围内允许最大的曝光时间 | 风险组 |
| 10×10多芯片 7000流明冷光源(相应色温≈7000k) 10×10多芯片7000流明暖光源(相应色温≈3000k) | 2.8106 2.8106 | 200-300 1000-1300 | 1:低风险 1:低风险 |
表11:
在2.1m范围内对一个暖光源和冷光源的多芯片的LED蓝光的风险评估结果。
| 类型 | 亮度(cd/m²) | 200毫米范围内允许最大的曝光时间 | 风险组 |
| 10×10多芯片 7000流明冷光源(相应色温≈7000k) 10×10多芯片7000流明暖光源(相应色温≈3000k) | 2.8106 2.8106 | 接触限值未达标 接触限值未达标 | 0:无风险 0:无风险 |
9.1.2评估结果与一个多芯片LED
多芯片LED纳入100模具进行了研究(图1E)。发射区域的尺寸为2.7厘米× 2.7厘米。其额定电功率为100 W.其光通量为7000流明。发射表面的平均亮度约为3106烛光/米2。做了两种不同相应色温的研究:3000 K(暖光源)和7000 K(冷光源)。结果汇总于表11。
最大允许暴露时间,冷光源的情况下,为200秒和300秒之间。在暖光源,其最大允许暴露时间为1300秒。这是两个暖光源和冷光源的模型,因此是危险群1。
尽管是一个非常强大的光源,这种多芯片LED具有比的高亮度单芯片LED更低的亮度。以上就是每100个管芯集成发射在比较低通量设备单芯片的LED上面做的的研究。然而,多芯片技术正在快速推进。它可以产生的组件在不久的将来达到光通量和亮度要多得多。
同样在2.1米的距离演示,对应的是对500勒克斯的照度进行的风险评估,结果见表12、13。在这种情况下,相应色温从未进入过风险组1。
表12:
蓝光的风险评估结果在2.5米的范围,100个暖光源,冷光源LED的阵列。
| 颜色 | 平均亮度 | 2.5m所允许的最大曝光时间(500勒克斯的亮度) | 风险组 |
| 10×10LED阵列 10 000 流明 10×10LED阵列 10 000 流明暖光源 | 1.2 106 0.83106 | 视场未超标 视场未超标 | 0:零风险 0:零风险 |
表13:
蓝色光的风险评估的结果,在200毫米的范围内在个体LED和用光学准直器使用的相同的LED进行。
| 颜色 | 平均亮度(cd/m²) | 200毫米范围内允许最大曝光时间 | 风险组 |
| 单芯片冷光源100流明的LED 同样的直径为10毫米的LED准直器 | 1,6107 1,6107 | 接触限值未超标 60s | 0:零风险 2:中等风险 |
9.1.3 LED阵列
LED阵列是典型的LED模块,包括在室内照明用的LED灯具。由工作组研究的100个单芯片高亮度的LED方阵。LED之间的间隔被设定为5毫米,总源大小约5.4厘米× 5.4厘米,每个LED发出的100流明的光通量。总光通量为10000流明,以200毫米的距离范围内,阵列上的风险评估出现类似的结果,作为的LED的单独考虑 。事实上,在这个距离,在视场对应的曝光时间只有小于500秒只覆盖单个LED。
在此照度达到的距离500 LX是等于2.5微米。在这个距离,风险评估给出结果在表5中。在这种情况下,接触限值从未达(高危组0)。实际上,阵列的平均亮度比单个LED的亮度小于约10倍。这个例子表明, 风险组转移的一个单独的LED到LED组件(模块,灯或照明器)是不可能的。但是,如果LED组件的观察者 在200mm范围上直接访问单独的LED,风险群体必然等于或大于单独的一个LED。访问距离不限制情况下这是可能的在消费应用的量。
总之,无论LED阵列或者多芯片LED,LED组件散发出暖光源的类型(2600k“相应色温<3400 K)与亮度小于2.2107 cd / m2的,总是发现属于风险组0和1。
9.1.4单芯片LED与光准直仪的关联
准直仪是光学系统设计,目的是重塑由光源发射到具有较窄的立体角的光束。在LED器件的准直器被广泛使用,比如定向的灯和灯具(筒灯照明,投影机,工作照明灯具,泛光灯,等等)。重要的是,光的准直光束的亮度不能比光源本身的亮度更大。但是,光源似乎是由准直器被放大,从而导致了光源也增加了有效尺寸。在一个理想的准直器(光源被放置在一个完美的会聚透镜的焦点)下,光源的有效尺寸等于准直器的输出表面积。其结果是,平均辐射LB 的曝光时间增加时不时会下降。最大允许时间因此就会缩短也就会产生所在风险组的变化。
例如,一个直径10毫米准直器相关联的冷光源单芯片LED以100流明发光被列为风险第2组,而单独的LED被分类危险组0(图11和表14和表15)。
9.1.5对灯和灯具进行蓝光风险评估结果
使用单一用光学准直器,并使用LED和准直器阵列中两个筒灯灯具LED定向灯(220 V,GU10插座基地)进行了测试。在被使用的非成像辐射计与三个视场限定的风险组的边界,在200毫米的范围进行的评估,之后,距离对应在500 勒克斯的照度。结果示于表13和14。结合单个LED冷光色的灯具属于对应于500 勒克斯的距离为风险组1,而它以200mm则分为高危组2。
所以,首要的是指定的风险评估的距离是什么。根据灯具的最终用途,观察者的距离可能短200毫米,这是不符合按照 EN 62471这一要求标准与风险组要求不一致导致。
做个结论,这是第一次用的LED灯具设备,其风险大于组1的照明装置也可作为商业,室内照明。更清楚的讲,首次探索到LED光源,紫光,靛蓝和蓝色光在大幅水平相比过去暴露于白炽灯对视网膜的危影响,所以我们不能排除‘慢性积累’的风险,却终身将自己曝光在尚未被发现的风险之中。因此,保护居民免受潜在的光致危害这方面,需要有一个监管指引。
表14:
蓝色光的风险评估的结果以对应于500 LX的照度的距离进行 。
| 视场(rd) | 0.1 | 0.011 | 0.0017 | Risk group |
| MR16 灯具-1LED-3w 灯筒灯具10w/4芯片LED/冷光源 灯筒灯具15w/6 LED&准直器/暖光源 平均亮度LB(W/m²/sr)在距离对应于500 LX的照度。 | 115 119 56 | 2180 2088 752 | 4021 23715 3086 | 1 1 0 |
表15:
该风险评估在200毫米范围内进行
| 视场(rd) | 0.1 | 0.011 | 0.0017 | Risk group |
| MR16 灯具-1LED-3w 灯筒灯具10w/4芯片LED/冷光源 灯筒灯具15w/6 LED&准直器/暖光源 平均亮度LB(W/m²/sr)在距离对应于500 LX的照度。 | 831 521 1567 | 4716 25 056 7047 | 5763 26705 9106 | 1 2 1 |
10. ANSES意见
2010年10月25日,ANSES,要考虑健康问题,使用LED照明系统做公众报告:“要考虑健康问题。”(http://www.afsset.fr /index.php?pageid¼2248&parent id¼523). 以下是关于ANSES 意见的一个总结。
10.1 LED的光化学风险
10.1.1符合有关标准的眩光
该辐射测量显示,目前在售的一些针对普通公众和国内照明潜在市场的情况下使用的LED、标志和导向灯,陷入了风险组2,而所有其它光源目前在售给公众将进入风险组0或1,为某些品牌的LED安全暴露极限时间以几秒钟或者几十秒的速度,由原来的蓝光源LED转为冷光源LED。
要强调照明的其他广泛使用的来源,特别是高压气体放电灯(metalhalide灯室外照明),也都在风险组2。然而重要的是,最后的例子是,用我们能清楚地确定用途,按照人们曝光极限的条件下由专业人员进行安装。随着LED的国内照明市场的到来,陷入风险组2的光源从而提供给公众,却没有关于风险的详细信息出现在标签上。
对于眩光相关的风险,标准的制定一定要借鉴涵盖视觉人体工学以及安全性。在市场上可用的LED照明系统中,为了避免削减亮度的水平,往往直接可见LED灯,这可能会导致不符合标准中规定的要求。
10.2 ANSES建议
※ 限制LED在国内群众使用和出售LED,否则LED可能落入高危人群高于或大于1或等于风险组1(在200毫米观察距离评估);
※ 强制由专业人士设计应用,有关照明质量全部达标的照明系统使用LED;
※ 弄清楚IEC 62 471-2标准(“灯和灯系统的光生物安全”),其适用于使用LED照明系统
※ 让这些标准对能适应特定光敏感人群(儿童和无晶状体眼人工晶状体和个人)。
10.3关于用法、信息和可追溯性
ANSES建议,在适当的监管框架落实之前应向有关消费者提供使用相关的LED照明系统的健康风险的信息。 ANSES建议如下:
※ 要避免在儿童经常光顾的地方使用冷光源LED灯(光具有较强的蓝光成分)(产科病房,托儿所,学校,休闲中心等) ,避免使用的东西(玩具,电子显示屏板,游戏控制台和操纵杆,夜景灯光等)用冷光源灯;
※ 对于不同的风险组,确保制造商和LED的集成商进行质量控制和限定他们的产品 ;
※ 要建立一个让消费者看的清晰,易于理解的标识制度,光生物安全风险组的包装应为各类照明上的强制性指标。
11.总结和未来的发展方向
动物模型允许机制的分析通常是用来评价光致变性的,但都没有涉及相关的人体病理学。我们知道鼠害大多是夜间活动,而且杆视网膜黄斑也很丰富。一方面,有限流行病学研究了相关的阳光照射和与年龄相关的黄斑的变化,而其他学科则没有涉足此领域。另一方面,光污染是在工业化国家中呈函数式增加,而更复杂的光源,具有特定光谱和高的强度。
LED灯最有可能将成为主要光源。除了通常用于装饰目的用到的蓝光LED,白光LED到紫光,靛蓝和蓝色光。提供视网膜的曝光比在以前光源上的水平要高得多。这是人们第一次将曝光等同于实质性的蓝光。这样的视网膜接触会诱发增加黄斑变性?青光眼神经病变的加重?昼夜周期扰动?在今天没有人敢断言,但分析所有已积累的蓝光危害知识的时候,我们不能排除‘慢性的积累’,将自己终身‘曝光’在尚未被发现的风险中,因为光化学损害可能不会引起任何明显的变化,但累计会导致光感受器的损伤。
我们迫切需要对具有潜在毒性的光进行更好的评估,这取决于可用的又不尽相同的人工光源,并通过和不同人群的慢性接触。国内厂商也要为光方面的知识做出清晰的指引。
该文观点仅代表作者,本站仅提供信息存储空间服务,转载请注明出处。若需了解详细的安防行业方案,或有其它建议反馈,欢迎联系我们。
