【安防在线 www.anfang.cn】
谈到跟雾霾打交道,对于安防行业并不陌生。不仅是雾霾,也包括日常生活中见到的各种沙尘、雾、雨、雪等恶劣天气,以及各种大气溶胶、光污染等非正常环境,都会对摄像机的成像效果产生很大的负面影响。对于治安监控、道路交通、港口航道等重要监控应用领域,这时候监控系统的效用就会严重降低,甚至完全难以辨认。
如何能够“看得清”,就成为需要迫切解决的现实难题。大华提供的高清透雾技术,使得解决这一难题成为可能。
一、污染的空气是如何影响摄像机成像的

如图所示意,大气中存在着水蒸气、可沉降颗粒物、悬浮颗粒物等不同成分、直径的微粒,其分散相为固体或液体小质点,其大小为0.001~100微米,统称为气溶胶。天空中的云、雾、尘埃,工业上和运输业上用的锅炉和各种发动机里未燃尽的燃料所形成的烟,采矿、采石场磨材和粮食加工时所形成的固体粉尘,人造的掩蔽烟幕和毒烟等都是气溶胶的具体实例。
摄像机成像的原理是目标物体发射或反射的光,在摄像机的成像器件上进行光电转换后成像的。当大气中气溶胶密度较大时,会对传播路径中的光束形成一系列的阻挡、散射、折射等作用,使得能够进入摄像机的有效光线减少、降质,最终影响到成像的质量。
二、透雾技术的原理
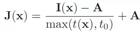
图像透雾技术,主要是突出源图像中重点观测内容,抑制非重点观测内容。方法分为空域法和频域法两类,空域法主要对图像中的各个像素点进行操作;而频域法是在图像的某个变换域内,对图像进行操作,修改变换后的系数,例如付立叶变换、DCT变换等的系数,然后再进行反变换得到处理后的图像。公式表示为:
其中,I(x)是雾霾下图像的色彩值;J(x)t(x)指物体表面光线到达传感器的过程中,由于大气微颗粒的散射而产生衰减,衰减后剩余部分;A(1-t(x))指环境光线因大气微颗粒反射而进入传感器成像。
暗通道先验原理,绝大多数的无雾图像,其每个局部区域都会存在至少一个颜色通道的强度值很低的像素,根据这个原理,定义图像暗通道Jdark为:
Jc代表J的某一个颜色通道,而Ω(x)是以x为中心的一个方形区域。对公式(1)做变形,得到:
代入公式(2)Jdark可进一步求得透射率t=1-Jdark/Ac
根据得到的Jdark和原图像,通过对图像亮度值的统计计算,求得大气光强A。
得到大气光强A和透射率t之后,通过对雾天成像模型的逆推,便可求出透雾后的图像:
三、该算法特色
“大气光强采用更稳定的统计方法,使得算法稳定性高,适用各种场景。
“色彩还原度好:传统的透雾算法会冲淡图像的色彩,该算法真实还原图像色彩。
“通透性好:该算法准确估计图像的雾气浓度,具有很好的通透性。
“考虑场景的景深信息,极大程度还原图像的细节:该算法准确估计不同景深物体的雾气浓度,实现准确透雾,保留并凸显原先被雾气隐藏的细节;传统算法可能对近景透雾较好,但远景会残留雾气,当增强透雾等级实现远景透雾时,近景则会损失细节。
“传统方法为提高图像对比度,会出现局部过曝或过暗的情况,损害图像质量,而此算法不会丢失细节。
“实现智能自动透雾:可自己判断是否为雾天天气,选择开启或者关闭透雾功能。
四、高清透雾摄像机产品应用已初具规模
大华已在全系列高清摄像机产品中不同程度的运用了透雾技术,配合更好的感光器件、镜头以及编码算法,提供尽可能接近真实场景的视觉效果。同时透雾技术与智能化技术相结合,除了人眼直接感知外,也为视频智能分析提供了更好的分析环境,有助于大幅提高视频分析的准确率,改善对不同场景的适应性。从此不必再担心雾霾天气中看不清车牌,看不清目标特征。
该文观点仅代表作者,本站仅提供信息存储空间服务,转载请注明出处。若需了解详细的安防行业方案,或有其它建议反馈,欢迎联系我们。
